Currently I am working on a Gamepad that will use the Bluetooth LE Human Interface Device specification to be able to connect to almost any system. This design implements a Li-ion battery charging and Power-path circuit, as well as an advanced IMU allowing for motion tracking.
This PCB is fitted under the handle of a curling stone, and using an Inertial Measurement Unit and a capacative touch sensor it can detect when the stone is set in play. The nRF52832 SoC provides connectivity using BLE which allows for more than 16 stones to connect to a central unit.
This single cell Li-Ion battery charging circuit was developed to safely include chargeable, high energy-density batteries for my future projects. Revision 2 uses a charging IC with Power-Path, allowing for dynamically allocating the power such that the application can draw current even with no battery present. Revision 3 is currently being worked on, and will include Qi wireless charging but is awaiting production.
The implementation uses the Homebridge API to set up all Disruptive Technologies sensors as Apple HomeKit accessories. It runs a Web Server on your Raspberry Pi that receives HTTP-requests from the Disruptive Technologies Cloud, and lets the user integrate all sensors in their Apple Home.
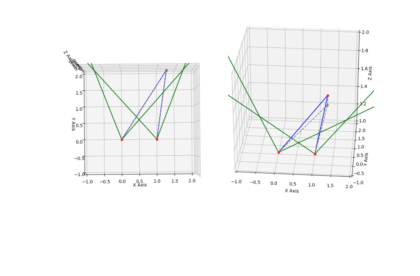
This Python program triangulates the 3D position of an object using two cameras and image recognition.
A RESTful API created to control all devices using HTTP requests.The first HTTP client I created to control smart devices with Disruptive Technologies touch sensors. Created to be expandable for many types of devices.
Supports Disruptive Technologies touch sensors, Telldus Live! Smart Equipment and Phillips Hue Smart Bulbs.
Worked on and published games on the Apple App Store when I was in the 9th grade. The apps got more than 1000 downloads!
I was too young to have my own Apple developer account, so the apps are registered under my fathers name. The games were released in 2014, but are no longer available on the App Store.
I have created many models for 3D printing both using Fusion 360 and OnShape.
Click to view the models in 3D:
I'm also really passionate about drawing and designing things.
Here is some of my artwork:




